钾肥项目防洪评价报告
1、防洪评价依据:
《中华人民共和国防洪法》第二十七条:“建设跨河、穿河、穿堤、临河的桥梁、码头、道路、渡口、管道、缆线、取水、排水等工程设施,应当符合防洪标准、岸线规划、航运要求和其他技术要求,不得危害堤防安全,影响河势稳定、妨碍行洪畅通;其可行性研究报告按照国家规定的基本建设程序报请批准前,其中的工程建设方案应当经有关水行政主管部门根据前述防洪要求审查同意。”
根据《河道管理范围内建设项目管理的有关规定(2017年修订)》,以下项目需要编制防洪评价报告,在河道(包括河滩地、湖泊、水库、人工水道、行洪区、蓄洪区、滞洪区)管理范围内新建、扩建、改建的建设项目,包括开发水利(水电)、防治水害、整治河道的各类工程,跨河、穿河、穿堤、临河的桥梁、码头、道路、渡口、管道、缆线、取水口、排污口等建筑物,厂房、仓库、工业和民用建筑以及其它公共设施(以下简称建设项目)。
钾肥项目占地面积282.89亩,建筑面积207453.45平米,达到稳定运营后,每年销售收入稳定在14055.28万元人民币左右,利润稳定在5979.84万元人民币左右。钾肥项目总投资额为35361.74万元,20%申请政府资金支持,80%自有资金解决,投资利润率为5.49%;项目投资财务内部收益率(税后)为0.03%,投资回收期(税后)为3902.90年,盈亏平衡点 BEP=31.69%。
钾肥项目防洪评价报告
编制防洪评价报告前建设单位提供材料:
(1)项目基本资料、可行性研究报告及批复、目前工程进展情况;
(2)河道划界报告;
(3)项目涉河工程建设方案、施工方案及相关图纸、建设项目防洪影响补救工程专项设计方案、建设项目工程建设期间和运营期间服从水利建设和管理的承诺函、建设项目涉及第三方合法水事权益的,提供与第三人协议(不涉及的,提供承诺函)、项目立项证明等必要资料。
以下根据《河道管理范围内建设项目防洪评价报告编制导则》(SL/T808-2021)编制
1. 概述
1.1. 建设 钾肥项目背景
防洪评价报告编制大纲执行《河道管理范围内建设项目防洪评价报告编制导则》(SL/T 808-2021)附录B要求,根据防洪综合评价及分析计算成果,定性或定量归纳建设项目的影响,明确结论,编制单位除按规范要求编写外,重点做好以下基础工作:弄清项目涉河工程建设方案、施工方案与河道的相互关系;弄清项目涉河工程建设方案及所处河段的防洪标准;洪评报告针对涉及河道管理范围内建设项目编制,应弄清项目涉河工程建设方案、施工方案是否存在违背《中华人民共和国防洪法》、《中华人民共和国河道管理条例》以及《涉水建设项目防洪与输水影响评价技术规范》(DB37T 3704-2019)等要求的限制性因素;确保项目所涉河道资料收集全面,水文、水力、稳定分析等计算方法正确、计算结果可靠;补救措施针对项目实际,确实起到消除和减轻防洪影响的作用。
1.2. 钾肥项目防洪影响分析范围
1.3. 技术路线及工作内容
1.4. 钾肥项目高程系统
2. 钾肥项目基本情况
2.1. 建设 钾肥项目基本情况
2011年1-12 月,山东省原油加工及石油制品制造业累计实现产品销售收入30691.04 亿元,比上年同期增长25.10% ,山东省原油加工及石油制品制造业累计实现利润总额-115.54亿元,上年同期为892.05亿元。山东省原油加工及石油制品制造业总规模以上企业数量1195家,亏损企业152家,亏损总额为782.41亿元,上年同期为79.03亿元。山东省原油加工及石油制品制造业产品销售税金及附加为2860.34亿元,去年同期为2648.67亿元,增长7.99%。
2011年1-12 月,山东省原油加工及石油制品制造业资产总计11884.50 亿元、比去年同期增加19.78% ;负债合计5561.15 亿元,比去年同期增加121.75% ;原油加工及石油制品制造业平均资产负债率为46.79% 。原油加工及石油制品制造业应收帐款额为432.87亿元,比去年同期增长-0.06% ,销售成本为26927.72亿元,比去年同期增长33.31% ,销售费用为140.98亿元,比去年同期增长11.04% ,原油加工及石油制品制造业管理费用为631.74亿元,比去年同期增长16.38% ,原油加工及石油制品制造业财务费用为136.70亿元,比去年同期增长34.10%, 原油加工及石油制品制造业全部从业人员平均人数为483408人。
2.2. 河道基本情况
2.3. 现有水利工程及其他设施情况
特别需要调查上游水库等水利设施情况
2.4. 水利规划及实施安排
3. 河道演变
3.1. 河道历史演变概况
河流侧蚀作用强烈,在峡谷峭壁上形成了凹穴,经过地壳运动抬升的稳定期和活跃期的交替变化,在不同的高度上形成了一些列侧蚀凹槽
上图为河流侧蚀凹槽 ,流动河水侵蚀凹岸,形成 凹槽,这是河流侧向侧蚀作用,被侵蚀的沉积物会被搬运到凸岸沉积

3.2. 河道近期演变分析
3.3. 河道演变趋势分析

河流下切作用,与侧向侵蚀相比,下蚀作用通常发生在地壳抬升期。在地壳抬升背景下,携带沉积物的水流不断侵蚀河床,使得峡谷越来越深
4. 防洪评价分析与计算
4.1.钾肥项目 水文分析计算
本报告采用HEC-RAS5.0.7版本进行计算,该软件可对天然或人工河道进行一维恒定流和非恒定流的水力推演:可计算缓流、急流及混合流等各种流态;还可进行如防洪堤、桥梁、涵洞、堰闸、泵站等涉水建筑物的水面线分析计算:同时,能够生成横断面形态图、流量及水位过程曲线、河道三维断面图等分析图表。该软件操作便捷.适应范围广。
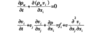
对于恒定流计算基于一维能量方程.采用直接步进法推求水面线,基本公式如下:
对于非恒定流计算基于一维连续性方程和动量方程,微分方程如下。

4.2. 钾肥项目壅水和行洪能力分析计算

桥梁壅水高度采用《铁路工程水文勘测设计规范》(TB10017-2021)推荐公式分析计算,公式为:
式中物理量依次为:
——桥前最大壅水高度(m);
——系数;
——断面平均流速(m/s),为设计流量被全河过水断面(包括边滩和河滩)除得之商;
——桥下平均流速(m/s);
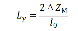
3、壅水长度
新建工程河段壅水曲线全长计算采用公式:

式中:
——壅水曲线全长(m);
——桥址河段天然水面坡度;
4.3. 钾肥项目冲刷淤积计算与河势影响分析
桥梁桥墩冲刷包括河床自然演变冲刷、一般冲刷和局部冲刷三部分,最大冲刷深度为上述三项之和。河床自然演变引起的冲刷和淤积目前尚无可靠的计算方法,其幅度较难量化。因此本次计算只考虑一般冲刷和局部冲刷两部分。项目区域地层岩性多样,区分粘性土和非粘性土计算冲刷深度。计算方法参考《公路工程水文勘测设计规范》(JTGC30-2015)。
4.4. 钾肥项目堤防及岸坡稳定分析计算
5. 钾肥项目防洪综合评价
5.1. 建设 钾肥项目与有关规划符合性评价
5.2. 建设 钾肥项目防洪标准和有关技术要求符合性评价
5.3. 建设 钾肥项目对河道行洪的影响评价
5.4. 建设 钾肥项目对河势稳定的影响评价
5.5. 建设 钾肥项目对堤防安全及岸坡稳定和其他水利工程影响评价
5.6. 建设 钾肥项目对水利工程运行管理和防汛抢险的影响评价
5.7. 建设 钾肥项目施工期影响评价
5.8. 建设 钾肥项目对第三人合法水事权益的影响评价
6. 消除和减轻影响的措施
6.1. 消除和减轻影响措施
6.2. 建设 钾肥项目消除和减轻影响的措施效果分析
7. 结论与建议 422
7.1. 防洪综合评价主要结论
7.2. 消除和减轻影响措施的结论
7.3. 建议
8
附件
8.1. 附件
---------------------------------------------
生产本项目产品的主要企业分析
格尔木藏格钾肥有限公司 宁夏金牛集团化肥有限责任公司 青海茫崖康泰钾肥开发有限责任公司 格尔木中瀚钾肥有限公司 茫崖兴元钾肥有限责任公司 青海瀚海集团有限公司 聊城鲁丰钾肥公司 都兰县钾肥有限责任公司 格尔木藏格钾肥有限公司 宁夏金牛集团化肥有限责任公司 青海茫崖康泰钾肥开发有限责任公司 茫崖兴元钾肥有限责任公司 青海瀚海集团有限公司 格尔木川蓝钾肥有限公司 青海中信国安联宇钾肥有限公司 茫崖晶鑫华隆钾肥有限公司 聊城鲁丰钾肥公司 格尔木中瀚钾肥有限公司 满洲里市博润达钾肥工贸有限责任公司 都兰县钾肥有限责任公司 黑龙江十年肥业有限公司 青海盐湖工业集团有限公司 青海盐湖元通钾肥有限公司 格尔木藏格钾肥有限公司 格尔木市翰海企业集团有限公司 四川米高化肥有限公司 格尔木三元钾肥公司 川化青上化工有限公司 北京昆龙伟业格尔木有限公司 格尔木东方优质氯化钾工业实验厂 青海省柴达木盐化工业实力总公司 青海晶达科技股份有限公司 青海昆仑镁盐有限责任公司 青藏兵站部钾肥厂 黄河钾肥厂 青海盐湖科技开发公司 青海省地矿集团有限公司格尔木盐湖资源开发分公司 天津天青化工有限公司 格尔木市海峰硫酸钾厂 青海成功钾盐开发有限公司 三门峡思念缓释肥业有限公司 青海省柴达木地矿化工总厂 都兰县钾肥有限责任公司 格尔木庆丰钾肥有限公司 青海山江实业有限公司 格盐化(集团)有责公司钾肥分公司 大柴旦大华化工有限公司 格尔木万年颗粒钾肥有限公司 金乡县金泰硫酸钾厂 格尔木浙海钾肥有限责任公司 大柴旦清达钾肥有限责任公司 青海香江盐湖开发有限公司 格尔木丰益颗粒钾肥有限责任公司 大柴旦西海化工有限责任公司 青海柴达木地矿化工有限公司 青海茫崖康泰钾肥开发有限责任公司 青海瀚海集团有限公司 格尔木藏格钾肥有限公司 茫崖兴元钾肥有限责任公司 黑龙江兴东集团股份有限公司 三门峡市复合肥厂 金乡县金泰硫酸钾厂 大柴旦西海化工有限责任公司 都兰县钾肥有限责任公司 大柴旦清达钾肥有限责任公司 青海山江实业有限公司
---------------------------------------------
项目位于迪庆州经济开发区老虎箐工业园区。迪庆藏族自治州辖香格里拉、德钦及维西傈僳族自治县三县。地处青藏高原东南缘,横断山脉南段北端,位于东经98°20"~100°19",北纬26°52"~29°16" 之间。东与四川木里、丽江宁蒗县接壤,南界丽江县及怒江兰坪、福贡县,西与西藏左贡、察隅县及怒江贡山县毗邻,被与西藏芒康县及四川甘孜的巴塘、德荣、乡城县交错接壤。巍峨的怒山山脉、云岭山脉和中甸大雪山山脉(沙鲁里山脉)由北向南纵贯全州,著名的怒江、澜沧江、金沙江从青藏高原并流南下,在横断山脉地区构成闻名于世的地球奇观——三江并流自然景观。境内最高峰梅里雪山主峰卡瓦格博峰海拔6740 m,最低点维西碧玉河口海拔1486 m,相对高差达5254 m。全州地势由北向南逐渐降低,平均海拔3380m。
---------------------------------------------
全年经济发展迈上新台阶。初步核算,全省实现生产总值34061.2亿元,比上年增长12.4%;其中,第一产业增加值2201.7亿元,增长4.5%;第二产业增加值18416.1亿元,增长12.5%;第三产业增加值13443.4亿元,增长13.6%。人均地区生产总值44232元,按当年汇率折算达到6475美元。经济结构进一步优化。三次产业增加值比例调整为6.4∶54.1∶39.5。先进制造业水平提升,全年实现高新技术产业产值21987亿元,增长19.5%,占规模以上工业比重达30%,比上年提高1.5个百分点。服务业特别是现代服务业增长加快、比重上升,实现服务业增加值13555.6亿元,比上年增长13.6%,占GDP比重39.8%,提高1.1个百分点。新兴行业加快发展,新能源、新医药、新材料、环保产业产值分别增长66%、30%、22%和21%,软件业销售收入增长35.7%,服务外包执行总额增长177%。非公有制经济进一步发展,实现增加值在地区生产总值中的份额达64.1%,其中私营个体经济比重为39.4%,分别提高0.9个和2.3个百分点。城市化和城市现代化水平稳步提高,年末城市化率达55.6%,比上年提高1.3个百分点。区域发展格局进一步改善,加快推进苏南转型升级,巩固苏中、苏北快速发展局面,苏中、苏北对全省经济增长的贡献份额达到42.3%,提高2.9个百分点,全面实施沿海地区发展规划。
节能减排取得明显成效。大力推进资源节约型、环境友好型社会建设,实施重点节能减排项目,淘汰落后产能,深入开展化工生产企业专项整治。全年共实施1121个减排项目,关闭小火电组687.6万千瓦,淘汰落后炼铁能力245万吨、落后炼钢能力547.2万吨,分别完成“十一五”总目标的224.3%、51.1%和77.4%。预计超额完成单位GDP能耗降低率的年度目标。化学需氧量、二氧化硫排放量分别削减3.1%和4.1%,累计完成“十一五”减排总目标的98.93%和121.1%。
物价水平年内小幅上升。全年居民消费价格下降0.4%,降幅比上半年收窄1.3个百分点。食品价格上涨0.9%,其中猪肉下降19.4%、油脂下降24.3%、鲜蛋上涨0.6%、禽上涨1.3%、鲜菜上涨18.1%。原材料、燃料、动力购进价格下降8.1%,其中燃料动力类下降12.0%、黑色金属材料类下降11.3%、有色金属和电线类下降14.1%、化工原料类下降11.0%、建筑材料及非金属类下降0.6%。工业品出厂价格下降4.8%。农业生产资料价格下降2.4%。
Feasibility Study
公司可提供前期的项目策划、投资机会研究、项目建议书或预可行性研究报告、可行性研究报告、社会稳定风险评估报告、节能评报告、水土保持、防洪评价、水资源论证、初步设计,专项债两评一方案、PPP咨询、土地规划、超长期特别国债/中央预算内资金申请资金申请报告、银行贷款可行性研究报告、私募融资商业计划书、项目后评价等服务。
详询:13911268021沈先生
Experience
建筑、城市规划、市政公用工程
化工、医药、纺织、化纤
钢铁、有色冶金、建筑材料
农业、林业、轻工
机械、电子
水电、火电、核电、水利工程
通信信息、广播电影电视
民航、公路、铁路、城市轨道交通、港口河海工程
石油、石化、天然气、煤炭
旅游工程、生态建设与环境工程
新能源
更多行业